UGC NET Results 2022: राष्ट्रीय परीक्षण एजेंसी (NTA) ने बुधवार को रात 8 बजे यूजीसी नेट दिसंबर 2021 और जून 2022 परीक्षाओं का परिणाम घोषित कर दिया है। इसके साथ ही एनटीए ने पर्सेंटाइल भी जारी की है।
जिन उम्मीदवारों ने परीक्षा दी थी, वे अब अपना स्कोर ugcnet.nta.nic.in और ntaresults.nic.in पर देख सकते हैं। इससे पहले आज, एजेंसी ने आंसर-की का अंतिम संस्करण प्रकाशित किया, जिसका उपयोग अंकों की गणना और परिणाम घोषणा के लिए किया गया है।
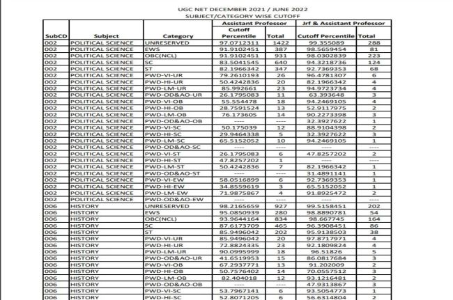
UGC NET Results 2022: यहां चेक करें कट ऑफ और पर्सेंटाइल
UGC NET Results 2022 Direct Link
UGC NET Results 2022: ऐसे चेक करें स्कोरकार्ड
- यूजीसी नेट की आधिकारिक वेबसाइट ugcnet.nta.nic.in पर जाएं।
- होम पेज पर, यूजीसी नेट रिजल्ट लिंक जल्द एक्टिव होगा, उसपर क्लिक करना होगा।
- अपना एप्लीकेशन नंबर और पासवर्ड दर्ज करके करके लॉग इन करें।
- आपका स्कोरकार्ड स्क्रीन पर खुल जाएगा, इसे चेक और डाउनलोड करें।










